
轮换对称性有以下性质

下面来看一道例题


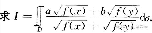
其中f(x)为D上连续函数,a、b均为常数
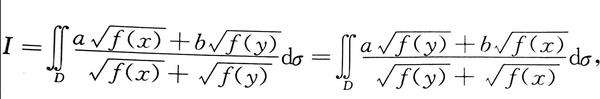
由轮换对称性

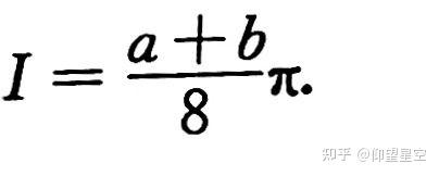
2I=∫∫(a+b)dσ

明显的,计算量得到了减少
与二重积分类似,调换x、y、z顺序积分区域不变,则三重积分同样满足轮换对称性
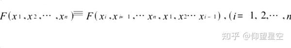
实际上,对任意多个变量的函数,只要满足

F就具有轮换对称性
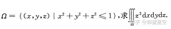
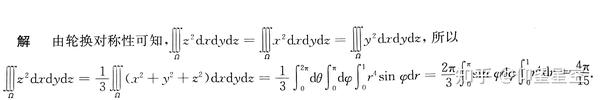
例


轮换对称性是积分中简化计算的重要方法,希望大家熟练掌握这一特殊性质,毕竟,数学的美感,许多时候不就体现于对称之中吗?
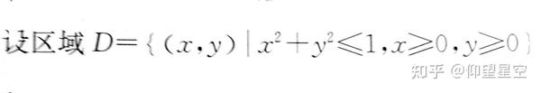
再看一道例题:

精于心,简于形

轮换对称性有以下性质

下面来看一道例题


其中f(x)为D上连续函数,a、b均为常数
由轮换对称性

2I=∫∫(a+b)dσ

明显的,计算量得到了减少
与二重积分类似,调换x、y、z顺序积分区域不变,则三重积分同样满足轮换对称性
实际上,对任意多个变量的函数,只要满足

F就具有轮换对称性
例


轮换对称性是积分中简化计算的重要方法,希望大家熟练掌握这一特殊性质,毕竟,数学的美感,许多时候不就体现于对称之中吗?
再看一道例题:

扫码打赏,你说多少就多少